|
|
|

|
Chemical Equilibrium
Copyright D. Herrick |
 |
| |
20 Questions from past exams.
Practice for speed. Aim
for 2 minutes per problem. |
|
| Ideal gas
constant: R = 0.08206 L-atm/mol-K = 8.314 J/mol-K |
| 1. |
Determine
the standard Kc expression for the reaction
C(s) + 2 N2O(g)
CO2(g)
+ 2 N2(g)
|
|
| A)
[C][N2O]2 |
F)
[CO2]1/2[N2] /
[N2O] |
| B)
[N2]2[CO2] /
[N2O]2 |
G)
[N2]2[CO2] /
[N2O]2[C] |
| C)
[CO2][N2]2 |
H)
2[N2] - [CO2] - 2[N2O] |
| D)
1/[C] |
I)
[N2O]-1/2[CO2][N2]1/2 |
| E)
[N2O]2 [CO2][N2]2 |
J)
[C]-1[N2]2[CO2][N2O]-2 |
|
| 2. |
An
equilibrium mixture for the reaction
2A(g) + 3B(g)
C(g) + 5D(g)
has 0.250 M A, 0.125 M B, 2.000 M
C and 0.500 M D. The value of Kc
is: |
|
| A)
128 |
B)
0.063 |
C)
512 |
D)
32.000 |
E)
5.143 |
| F)
256 |
G)
266.7 |
H)
1.000 |
I)
2.000 |
J)
zero |
|
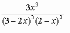
| 3. |
3
mol of A and 2 mol of B placed in a 1-liter vessel react to
equilibrium according to the gas-phase reaction
2 A + B
3 C
If "x"
denotes the mols of B reacted, then the
expression for Kc is:
|
|
| 4. |
The
reaction 2A(g)
B(g) has KP = 16. If the
equilibrium pressure of B is 9 atm, the pressure of A (atm)
is: |
|
| A)
1296 |
B)
0.56 |
C)
144 |
D)
1.33 |
E)
0.50 |
| F)
6.00 |
G)
0.38 |
H)
8.25 |
I)
1.50 |
J)
0.75 |
|
| 5. |
Determine
the concentration (M) of NO2 after 1.00 mol of N2O4
placed in a 1.00-liter flask comes to equilibrium according
to the reaction
N2O4(g)
2 NO2(g) , Kc = 2.000
|
|
| A)
0.618 |
B)
1.125 |
C)
2.000 |
D)
0.732 |
E)
1.000 |
| F)
0.000 |
G)
0.500 |
H)
1.236 |
I)
1.414 |
J)
0.250 |
|
| A) |
1
× 1010 |
D) |
1
× 10-3 |
| B) |
1
× 1024 |
E) |
1
× 10-10 |
| C) |
1
× 103 |
F) |
1
× 10-24 |
|
| 7. |
Use
the reactions
HCN + H2O
H3O+ + CN- ,
K1 = 1 ×
10-10
2H2O
H3O+ + OH- ,
K2 = 1 ×
10-14
to find K for
the acid-base neutralization
OH-
+ HCN
H2O + CN-
|
|
| A) |
1
× 1014 |
D) |
1
× 10-4 |
| B) |
1
× 1024 |
E) |
1
× 10-14 |
| C) |
1
× 104 |
F) |
1
× 10-24 |
|
| 8. |
The
gas phase equilibrium reaction 3 H2(g)
+ N2(g) 2 NH3(g)
has Kc = 0.0024 at
1000K. When 2 mol of
H2, 5 mol of N2, and 3 mol of NH3
are mixed in a 100-liter vessel at 1000K the result is: |
|
| A) |
produce
more hydrogen and nitrogen from ammonia. |
| B) |
convert
hydrogen and nitrogen into more ammonia. |
| C) |
no
reaction, the starting mixture is at equilibrium. |
| D) |
the
concentration of each reactant and product doubles. |
| E) |
the
concentration of each reactant and product is halved. |
|
| 9. |
Given
the equilibrium constants for the reactions
4Cu(s) + O2(g)
2Cu2O(s), K1
2CuO(s)
Cu2O(s)
+ 0.5 O2(g), K2
what is K for the reaction
2Cu(s) + O2(g)
2CuO(s) ? |
|
| A) |
K11/2
× K2 |
| B) |
K1
× K21/2 |
| C) |
K21/2
/ K1 |
| D) |
K11/2
/ K2 |
| E) |
K1
× K2 |
|
|
Questions
10-14 consider an equilibrium mixture for the heterogeneous
reaction
2
C(s) +
O2(g)
2
CO(g)
(exothermic)
|
| 10. |
How
does the equilibrium shift when additional O2
is added? |
|
| A) |
2
C + O2 2 CO |
| B) |
2
C + O2 2 CO |
| C) |
no
shift |
|
| 11. |
How
does the equilibrium shift when the total pressure is
increased? |
|
| A) |
2
C + O2
2 CO |
| B) |
2
C + O2 2 CO |
| C) |
no
shift |
|
| 12. |
How
does the equilibrium shift when the temperature is
increased? |
|
| A) |
2
C + O2
2 CO |
| B) |
2
C + O2 2 CO |
| C) |
no
shift |
|
| 13. |
How
does the equilibrium shift when additional C is added? |
|
| A) |
2
C + O2
2 CO |
| B) |
2
C + O2 2 CO |
| C) |
no
shift |
|
| 14. |
The
conversion Kp
= Kc (RT)b
for this reaction has b=
|
|
| A)
5 |
B)
4 |
C)
3 |
D)
2 |
E)
1 |
| F)
0 |
G)
-1 |
H)
-2 |
I)
-3 |
J)
-4 |
|
| 15. |
Which
change would cause the following equilibrium to shift
to the right? 2NOBr(g)
2NO(g) + Br2(g), Ho
= 30
kJ
|
|
| A) |
Decrease
the volume of the reaction vessel. |
| B) |
Add
some NO. |
| C) |
Remove
some NOBr. |
| D) |
Add
Br2. |
| E) |
Increase
the temperature. |
|
| 16. |
Determine
Kc for the heterogeneous equilibrium at 500K:
A(s) + 3B(g) 2C(l)
+ 2D(g), Kp = 0.136
|
|
| A)
3.34 |
B)
56.5 |
C)
14.6 |
D)
0.136 |
E)
5.58 |
|
| 17. |
How
does the reaction shift when a catalyst is added to an
equilibrium mixture?
N2(g) + 3H2(g)
2NH3(g) , Ho
= -92
kJ
|
|
| A) |
N2 +
3H2
2NH3 |
| B) |
N2 +
3H2 2NH3 |
| C) |
no
shift |
|
| 18. |
If
the reaction N2 + 2H2O
2NO
+ 2H2 has Kc = 1
× 10-2
then the reaction
NO + H2
½N2 + H2O has
Kc = |
|
| A) |
1
|
D) |
1
× 10-2 |
| B) |
1
× 10+1 |
E) |
1
× 10-1 |
| C) |
1
× 102 |
F) |
1
× 103 |
|
| 19. |
Predict
the reaction direction when
[CS2] = [H2] = [CH4]
= [H2S] = 0.125 M:
CS2(g)
+ 4 H2(g)
CH4(g)
+ 2 H2S(g)
,
Kc = 28
|
|
| A) |
reactants
products |
| B) |
reactants
products |
| C) |
no
change--the system is already at equilibrium |
|
| 20. |
5
mole of AB is placed in a 1.00 L reaction vessel and is
allowed to come to equilibrium according to the reaction
AB(g)
A(g) + B(g), Kc = 7.00
Determine
the degree of dissociation of AB in the final
equilibrium mixture.
|
|
| A) |
73% |
| B) |
99% |
| C) |
41% |
| D) |
67% |
| E) |
54% |
| F) |
4.8% |
|
|
|
|